NGÏàÐÅÆ·ÅƵÄÁ¦Á¿¹ÙÍø

English NGÏàÐÅÆ·ÅƵÄÁ¦Á¿¹ÙÍø¼¯ÍÅÆóÒµÓÊÏä

µÚÈý½Ú Ö±Ï߻ع鷽³Ì

×÷ÕߣºÐìÈÙÏé ³öÊéÉ磺Öйú¿ÆÑ§ÊÖÒÕ³öÊéÉç ¿¯ÐÐÈÕÆÚ£º2009Äê7ÔÂ

Ò»¡¢Ö±Ï߻ع鷽³ÌµÄ¿´·¨
Ëùν»Ø¹é£¬£¬£¬£¬£¬£¬£¬£¬ÊÇ˵µ±Ò»ÖÖ¹ÛÏó(y)ÊÜÁíÒ»ÖÖÕ÷Ïó(x)µÄÓ°Ï죬£¬£¬£¬£¬£¬£¬£¬ÖÂʹ(y)Ëæ×ÅÕ÷Ïó(x)µÄ±ä»»¶øÓмÍÂɵı任ʱ£¬£¬£¬£¬£¬£¬£¬£¬ÕâÖÖЭͬ±äÒìµÄ¹ØÏµÔÚͳ¼ÆÑ§ÖгÆÖ®Îª»Ø¹é¡£¡£¡£ ¡£ ¡£»£»£»£»£»£»Ø¹éÆÊÎöÊǵ±Ñо¿Á½ÖÖÊÂÎï¼äµÄÏ໥¹ØÏµÊ±£¬£¬£¬£¬£¬£¬£¬£¬ÐÎòÆäÖÐÒ»ÖÖÊÂÎïÒÀ´æÁíÒ»ÖÖÊÂÎï±ä»»µÄ¼ÍÂÉ¡£¡£¡£ ¡£ ¡£Æä±í´ïʽΪ£º


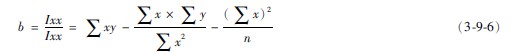
ʽÖÐyΪԤ¼ÆÖµ£»£»£»£»£»£»αΪ³£Êý£¬£¬£¬£¬£¬£¬£¬£¬Ò²³ÆÎª½Ø¾à£¬£¬£¬£¬£¬£¬£¬£¬¼´µ±x¼´ÊÇÁãʱÔڻعéÖ±ÏßÖáÉϵĽ»µã£»£»£»£»£»£»bΪ»Ø¹éϵÊý£¬£¬£¬£¬£¬£¬£¬£¬ËüÊǻعéÖ±ÏßµÄбÂÊ£¬£¬£¬£¬£¬£¬£¬£¬ÆäÒâÒåÊÇÿµ±x±ä»»Ò»¸öµ¥Î»£¬£¬£¬£¬£¬£¬£¬£¬ÔòyËæÖ®±ä»»b¸öµ¥Î»¡£¡£¡£ ¡£ ¡£
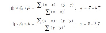
Ö±Ï߻عéÆÊÎöµÄÄ¿µÄÊÇÇó³öÒ»ÌõÄÜÈ·Çз´Ó¦±¾×ÊÁϵĻعé±ä»»¼ÍÂɵÄÖ±Ïß·½³Ìʽ£¬£¬£¬£¬£¬£¬£¬£¬ÒÔͨ¹ý´ËʽÓÉxÖµÔ¤¼ÆyÖµ¡£¡£¡£ ¡£ ¡£Ò»Ñùƽ³£ÒªÇ󻨹鷽³ÌÄÜÖª×ãÏÂÊöÌõ¼þ£º¼´´Ó»Ø¹é·½³ÌÍÆËã³öµÄyÖµÓëÏÖʵyÖµÖ®²îµÄƽ·½ºÍ£Û∑(y-y)£Ý2ÊÇ×îСֵ¡£¡£¡£ ¡£ ¡£È·Á¢Ö±Ï߻ع鷽³ÌʽµÄÒªº¦ÊÇÇó³ö»Ø¹éϵÊýbºÍ½Ø¾àᣬ£¬£¬£¬£¬£¬£¬£¬ËüÃǵÄÅÌË㹫ʽΪ£º
¶þ¡¢ÇóÖ±Ï߻ع鷽³ÌµÄ»ù±¾ÒªÁì
£¨Ò»£©Ð¡Ñù±¾µÄÅÌËãÒªÁì
µ±Ô­Ê¼Êý¾Ýδ¼¸£¨n<40£©Ê±£¬£¬£¬£¬£¬£¬£¬£¬¿ÉÖ±½Ó°´Êµ²âÊý¾ÝX¡¢Y£¬£¬£¬£¬£¬£¬£¬£¬Çó∑X¡¢∑Χ2¡¢∑Y¡¢∑Y2¼°∑XY¡£¡£¡£ ¡£ ¡£´úÈëÏÂÁй«Ê½(3ª²9ª²6)¡¢(3ª²9ª²7) ¡¢(3ª²9ª²8) ¡¢(3ª²9ª²9)£¬£¬£¬£¬£¬£¬£¬£¬Çóα¡¢bºÍÖ±Ï߻ع鷽³Ì¡£¡£¡£ ¡£ ¡£

ʽÖÐIxx=∑£¨x-x£©£¨y-y£©(Àë¾ù²î»ýºÍ)
Ixx=∑£¨x-X£©2£¨Àë¾ù²îƽ·½ºÍ£©

ʾÀý3ª²9ª²3ijÑо¿Ö°Ô±ÊÓ²ìθ³¦ÓªÑø½ºÄÒµÄÓªÑø¼ÛÖµ£¬£¬£¬£¬£¬£¬£¬£¬ÓÃÃ÷È·Êó×öÊÔÑ飬£¬£¬£¬£¬£¬£¬£¬¶ÔÿֻÃ÷È·ÊóÔÚÊÓ²ìʱ´úθ³¦ÓªÑø½ºÄÒµÄÓÃÁ¿£¨g£©ºÍÌåÖØÔöÌíÁ¿£¨g£©»ãÈë±í£¨3ª²9ª²4£©ÖУ¬£¬£¬£¬£¬£¬£¬£¬Æ¾Ö¤Ô­Ê¼×ÊÁÏÊÔ×÷Ö±Ï߻عéÆÊÎö¡£¡£¡£ ¡£ ¡£

¡¾½âÌâ°ì·¨¡¿
1ª±ÏÈÁгöÖ±Ï߻عéÆÊÎöÅÌËã±í£¬£¬£¬£¬£¬£¬£¬£¬Çó»ù´¡ÊýÖµ£¨±í3ª²9ª²5£©£º

2ª±Æ¾Ö¤±í3ª²9ª²5ÖеĻù´¡ÊýÖµÅÌËãx¡¢yµÄ¾ùÊý£¨x¡¢y£©¡¢Àë¾ù²îƽ·½ºÍ£¨Ixx¡¢Iyy£©¡¢Àë¾ù²î»ýºÍ£¨Ixy£©¡£¡£¡£ ¡£ ¡£

3ª±Æ¾Ö¤¹«Ê½(3ª²9ª²6)¡¢(3ª²9ª²7) ¡¢(3ª²9ª²8)£¬£¬£¬£¬£¬£¬£¬£¬Çób¡¢αºÍ»Ø¹é·½³Ì¡£¡£¡£ ¡£ ¡£

4ª±°´ÇóµÃµÄÖ±Ï߻ع鷽³Ì£¬£¬£¬£¬£¬£¬£¬£¬ÔÚXÖµ¹æÄ£ÄÚí§ÒâÈ¡Á½µã£¨x1y1£©£¬£¬£¬£¬£¬£¬£¬£¬£¨x22£©£¬£¬£¬£¬£¬£¬£¬£¬ÏàÁ¬¼´µÃ»Ø¹éÖ±Ïß¡£¡£¡£ ¡£ ¡£
£¨¶þ£©´óÑù±¾µÄÇó·¨
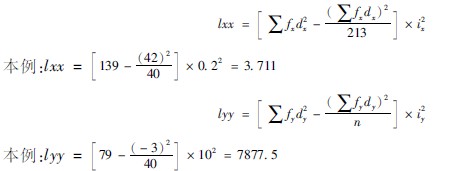
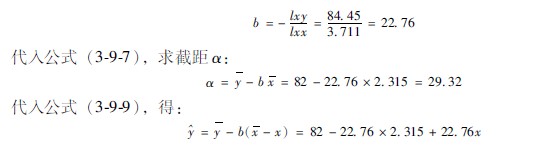
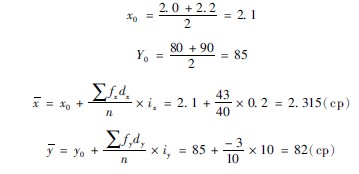
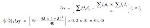
µ±Ô­Ê¼×ÊÁϽÏÁ¿¶àʱ£¬£¬£¬£¬£¬£¬£¬£¬½ÓСÑù±¾´¦Öóͷ£¹«Ê½ÅÌËãÆäÊÂÇéÁ¿Ï൱µÄ´ó£¬£¬£¬£¬£¬£¬£¬£¬¿É°´Ö±ÏßÏà¹ØÏµÊýµÄ¼ò½ÝÒªÁìÏÈ»æÖÆË«±äÁ¿ÆµÊý±í£¬£¬£¬£¬£¬£¬£¬£¬È»ºóÔÙÆ¾Ö¤±íÖеĻù´¡ÊýÖµ»®·ÖÅÌËãx¡¢yµÄ¾ùÊý£¨x¡¢y£©¡¢Àë¾ù²îƽ·½ºÍ£¨Ixx¡¢Iyy£©¡¢Àë¾ù²î»ýºÍ£¨Ixy£©¡£¡£¡£ ¡£ ¡£ÏÖÒÔʾÀý3ª²9ª²2ΪÀý£¬£¬£¬£¬£¬£¬£¬£¬ÊÔÓüò½ÝÒªÁìÅÌËã»Ø¹é·½³Ì¡£¡£¡£ ¡£ ¡£

ʾÀý3ª²9ª²2Ñù±¾Êýn=40£¬£¬£¬£¬£¬£¬£¬£¬×é¾àix=0ª±2£¬£¬£¬£¬£¬£¬£¬£¬×é¾àiy=10£¬£¬£¬£¬£¬£¬£¬£¬(∑fxdx)=43£¬£¬£¬£¬£¬£¬£¬£¬∑fxd2x=139£¬£¬£¬£¬£¬£¬£¬£¬∑fYdY=-3£¬£¬£¬£¬£¬£¬£¬£¬∑fyd2y=79£¬£¬£¬£¬£¬£¬£¬£¬∑fdXdY=39¡£¡£¡£ ¡£ ¡£
¡¾½âÌâ°ì·¨¡¿
1ª±ÅÌËã¾ùÊý£º±¾Àý¼Ù¶¨¾ùÊý£¨È¡×éÖÐÖµ£¬£¬£¬£¬£¬£¬£¬£¬x0Ϊ“¡«2ª±0”×éµÄ×éÖÐÖµ£©¡£¡£¡£ ¡£ ¡£

2ª±Àë¾ù²îµÄƽ·½ºÍ£º

3ª±Àë¾ù²î»ýºÍ£º

4ª±°´¹«Ê½£¨3ª²9ª²6£©£¬£¬£¬£¬£¬£¬£¬£¬Ç󻨹éϵÊýb£º

Ö±Ï߻ع鷽³Ì£º=29ª±32£«22ª±76x
´ð£ºÆäÖ±Ï߻ع鷽³ÌΪ=29ª±32£«22ª±76x¡£¡£¡£ ¡£ ¡£
Èý¡¢»Ø¹éϵÊýµÄÏÔÖøÐÔÄ¥Á·
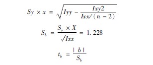
»Ø¹éϵÊýÏÔÖøÐÔÄ¥Á·µÄÒâÒåÓëÏà¹ØÏµÊýµÄÏÔÖøÐÔÄ¥Á·µÄÒâÒåÏàͬ£¬£¬£¬£¬£¬£¬£¬£¬Æä»Ø¹éϵÊý(b)Ò²ÊÇÒò³éÑùÑо¿µÃÀ´µÄ£¬£¬£¬£¬£¬£¬£¬£¬×ÝÈ»ÑÏ¿á°´Ëæ»ú³éÑù£¬£¬£¬£¬£¬£¬£¬£¬»Ø¹éϵÊýÒ²±£´æ³éÑùÎó²îµÄÎÊÌ⣬£¬£¬£¬£¬£¬£¬£¬Ò²Ó¦¾ÙÐÐÏÔÖøÐÔÄ¥Á·¡£¡£¡£ ¡£ ¡£µ±y±äÁ¿Ìý´ÓÕý̬ÂþÑÜʱ£¬£¬£¬£¬£¬£¬£¬£¬»Ø¹éϵÊýµÄÏÔÖøÐÔÄ¥Á·¿ÉÒÔÓÃtÄ¥Á·£¬£¬£¬£¬£¬£¬£¬£¬Ò²¿ÉÒÔÓ÷½²îÆÊÎöÒªÁìÇóµÃ¡£¡£¡£ ¡£ ¡£±¾½Ú½öÏÈÈÝtÄ¥Á·ÒªÁì¡£¡£¡£ ¡£ ¡£
ÓÃtÄ¥Á·ÒªÁìÄ¥Á·»Ø¹éϵÊý£¨b£©ÊÇ·ñÏÔÖø£¬£¬£¬£¬£¬£¬£¬£¬ÏÈÆ¾Ö¤ÒÔϹ«Ê½»®·ÖÅÌËãsy¡¢xºÍ»Ø¹éϵÊýµÄ±ê×¼Îó£¨sb£©£¬£¬£¬£¬£¬£¬£¬£¬È»ºóÅÌËãtÖµ¡£¡£¡£ ¡£ ¡£Æä¹«Ê½»®·ÖΪ (3ª²9ª²10)¡¢(3ª²9ª²11) ¡¢(3ª²9ª²12)£º

µ±ÇóµÃtÖµºó£¬£¬£¬£¬£¬£¬£¬£¬Æ¾Ö¤×ÔÓɶȣ¨n-2£©²étÖµ±í£¬£¬£¬£¬£¬£¬£¬£¬Ö÷ҪĿµÄÊÇÓëP=0ª±05Ï൱µÄÁÙ½çÖµ£Ût£¨n′£©0ª±05£Ý¾ÙÐнÏÁ¿¡£¡£¡£ ¡£ ¡£ÈôÊÇÇóµÃµÄtÖµ< t£¨n′£©0ª±05£¬£¬£¬£¬£¬£¬£¬£¬ÔòP>0ª±05£¬£¬£¬£¬£¬£¬£¬£¬»Ø¹éϵÊýÎÞÏÔÖøÒâÒ壻£»£»£»£»£»Ïà·´£¬£¬£¬£¬£¬£¬£¬£¬ÈôÊÇÇóµÃµÄtÖµ> t£¨n′£©0ª±05£¬£¬£¬£¬£¬£¬£¬£¬ÔòP<0ª±05£¬£¬£¬£¬£¬£¬£¬£¬»Ø¹éϵÊýÓÐÏÔÖøÒâÒ壻£»£»£»£»£»ÈôÊÇÇóµÃµÄtÖµ> t£¨n′£©0ª±01£¬£¬£¬£¬£¬£¬£¬£¬ÔòP<0ª±01£¬£¬£¬£¬£¬£¬£¬£¬»Ø¹éϵÊýÓкÜÊÇÏÔÖøÒâÒå¡£¡£¡£ ¡£ ¡£
ÏÖÒÔÀý3ª²9ª²3ΪÀý£¬£¬£¬£¬£¬£¬£¬£¬Ä¥Á·Æä»Ø¹éϵÊýÓÐÎÞÏÔÖøÒâÒå¡£¡£¡£ ¡£ ¡£
ÓÉÓÚÒÑÖªIyy=4234ª±1£¬£¬£¬£¬£¬£¬£¬£¬  Ixx=75906ª±4£¬£¬£¬£¬£¬£¬£¬£¬  Ixy=16843ª±2£¬£¬£¬£¬£¬£¬£¬£¬n=10£¬£¬£¬£¬£¬£¬£¬£¬ b=0ª±2219£¬£¬£¬£¬£¬£¬£¬£¬½«ÒÔÉÏÊý¾Ý»®·Ö´úÈ빫ʽ£¨3ª²9ª²10£©¡¢£¨3ª²9ª²11£©¡¢£¨3ª²9ª²12£©£¬£¬£¬£¬£¬£¬£¬£¬µÃ£º

²ét½çÖµ±í£¨¸½±í4£©£ºn′=8£¨10-2£©Ê±£¬£¬£¬£¬£¬£¬£¬£¬t£¨8£©0ª±01=3ª±355¡£¡£¡£ ¡£ ¡£±¾Àýt=7ª±7587£¬£¬£¬£¬£¬£¬£¬£¬p<0ª±01£¬£¬£¬£¬£¬£¬£¬£¬ »Ø¹éϵÊýÓкÜÊÇÏÔÖøÒâÒå¡£¡£¡£ ¡£ ¡£
ËÄ¡¢Ïà¹ØºÍ»Ø¹éÆÊÎöӦע֨µÄÊÂÏî
1ª± Ã÷È·Ïà¹ØÓë»Ø¹éÆÊÎöµÄʵÖÊÄÚÈÝ
Ïà¹ØÏµÊý˵Ã÷Á½±äÁ¿¼ä¹ØÏµµÄÇ×½üˮƽ£¬£¬£¬£¬£¬£¬£¬£¬»Ø¹é·½³Ì˵Ã÷Á½±äÁ¿¼äµÄÊýÄ¿¹ØÏµ£¬£¬£¬£¬£¬£¬£¬£¬Á½Õß˵Ã÷µÄÎÊÌâ²î±ð£¬£¬£¬£¬£¬£¬£¬£¬Ö®¼äÓÐÏà¹Ø¹ØÏµ¡£¡£¡£ ¡£ ¡£Òò´Ë£¬£¬£¬£¬£¬£¬£¬£¬ÈôÊǻعéϵÊýÏÔÖøÐÔÄ¥Á·ÓÐÏÔÖøÐԵϰ£¬£¬£¬£¬£¬£¬£¬£¬Ïà¹ØÏµÊýÒ²Ò»¶¨ÊÇÏÔÖøµÄ£¬£¬£¬£¬£¬£¬£¬£¬·´Ö®ÒàÈ»¡£¡£¡£ ¡£ ¡£
2ª±×¼È·Ã÷È·Ïà¹ØÆÊÎöµÄ×÷ÓÃ
Ïà¹ØÆÊÎöÖ»ÊÇÒÔÏà¹ØÏµÊýÀ´ÐÎòÁ½¸ö±äÁ¿¼äÏ໥¹ØÏµµÄÇ×½üˮƽºÍÆ«Ïò£¬£¬£¬£¬£¬£¬£¬£¬²¢²»¿ÉÆÊÎöÁ½ÊÂÎï»òÕ÷Ïó¼ä±£´æÁªÏµµÄʵÖÊ¡£¡£¡£ ¡£ ¡£²¢ÇÒÏà¹Ø²¢·×Æç¶¨¾ÍÊÇÒò¹û¹ØÏµ£¬£¬£¬£¬£¬£¬£¬£¬Çв»¿É´¿´âÒÀÀµÏà¹ØÏµÊý»ò»Ø¹éϵÊýµÄÏÔÖøÐÔ֤ʵÒò¹û¹ØÏµÖ®±£´æ¡£¡£¡£ ¡£ ¡£ÒªÖ¤ÊµÁ½ÊÂÎï¼äµÄÒò¹û¹ØÏµ£¬£¬£¬£¬£¬£¬£¬£¬±ØÐèÆ¾½åרҵ֪ʶ´ÓÀíÂÛÉϼÓÒÔÆÊÎö¡£¡£¡£ ¡£ ¡£¿ÉÊÇ£¬£¬£¬£¬£¬£¬£¬£¬µ±ÊÂÎï¼äµÄÒò¹û¹ØÏµÎ´±»ÊìϤǰ£¬£¬£¬£¬£¬£¬£¬£¬Ïà¹ØÆÊÎö¿ÉΪÀíÂÛÑо¿ÌṩÏßË÷¡£¡£¡£ ¡£ ¡£
3ª±²»Òª°ÑºÁÎÞ¹ØÁªµÄÁ½¸öÊÂÎï»òÕ÷ÏóÓÃÀ´×÷Ïà¹Ø»ò»Ø¹éÆÊÎö£¬£¬£¬£¬£¬£¬£¬£¬²»È»ÊÇûÓÐÒâÒåµÄ¡£¡£¡£ ¡£ ¡£ÁíÍ⣬£¬£¬£¬£¬£¬£¬£¬Ïà¹ØÆÊÎöֻ˵Ã÷Ïà¹Ø¡£¡£¡£ ¡£ ¡£
4ª±²»Òª°ÑÏà¹ØÏÔÖøÐÔ¾ÞϸÎó½âΪÏà¹ØË®Æ½µÄ¾Þϸ¡£¡£¡£ ¡£ ¡£Ïà¹ØÏµÊýÊÇ˵Ã÷Á½ÊÂÎï¼äÇ×½üˮƽµÄ£¬£¬£¬£¬£¬£¬£¬£¬ rµÄ¾ø¶ÔÖµÔ½¿¿½üÓÚ1£¬£¬£¬£¬£¬£¬£¬£¬Ïà¹ØÔ½Ç×½ü£»£»£»£»£»£»Ô½¿¿½ü0£¬£¬£¬£¬£¬£¬£¬£¬ÔòÏà¹ØË®Æ½Ô½ËÉÉ¢¡£¡£¡£ ¡£ ¡£Ïà¹ØÏµÊýµÄÏÔÖøÐÔÄ¥Á·ÊÇ˵Ã÷ÓɳéÑùÎó²îÒýÆðÕâÑù´óµÄrÖµµÄ¿ÉÄÜÐÔÓжà´ó¡£¡£¡£ ¡£ ¡£P>0ª±05˵Ã÷ÓɳéÑùÎó²îÒýÆðÕâÑù´óµÄrÖµµÄ¿ÉÄÜÐÔ´óÓÚ5%£¬£¬£¬£¬£¬£¬£¬£¬Òò´Ë¶ø²»É¨³ýËü³é×ÔÓÚÎÞÏà¹ØµÄ×ÜÌå¡£¡£¡£ ¡£ ¡£Ö»ÓÐP≤0ª±05£¬£¬£¬£¬£¬£¬£¬£¬ r²ÅÓÐÒâÒå¡£¡£¡£ ¡£ ¡£
5ª±ÔڻعéÆÊÎöÖУ¬£¬£¬£¬£¬£¬£¬£¬ÓÉxÍÆËãy»òÓÉyÍÆËãx £¬£¬£¬£¬£¬£¬£¬£¬Æä»Ø¹é·½³Ì²î±ð£¬£¬£¬£¬£¬£¬£¬£¬²»¿É»ìÓᣡ£¡£ ¡£ ¡£ÍÆË㹫ʽÈçÏ£º

6ª±Ïà¹ØÓë»Ø¹éµÄÇø±ðºÍÁªÏµ
Ïà¹ØÌåÏÖÁ½±äÁ¿¼äµÄÏ໥¹ØÏµÊÇ˫ƫÏòµÄ¡£¡£¡£ ¡£ ¡£¶ø»Ø¹éÔòÌåÏÖyËæx¶ø×ª±ä£¬£¬£¬£¬£¬£¬£¬£¬ÕâÖÖ¹ØÏµÊǵ¥Æ«ÏòµÄ¡£¡£¡£ ¡£ ¡£Ò½Ñ§×ÊÁÏÖеÄÓÐЩ×ÊÁÏÓÃÏà¹ØÌåÏÖ½ÏÏàÒË£¬£¬£¬£¬£¬£¬£¬£¬ºÃ±ÈÐÖµÜÓë½ãÃüäµÄÉí³¤¹ØÏµ¡¢È˵ÄÉí³¤Óëǰ±Û³¤Ö®¼äµÄ¹ØÏµµÈ×ÊÁÏ¡£¡£¡£ ¡£ ¡£µ«ÓÐЩ×ÊÁÏÓÃÏà¹ØºÍ»Ø¹é¶¼²»ÏàÒË£¬£¬£¬£¬£¬£¬£¬£¬´ËʱÐëÊÓÑо¿ÐèÒª¶ø¶¨¡£¡£¡£ ¡£ ¡£¾ÍÒ»Ñùƽ³£ÅÌËã³ÌÐòÀ´Ëµ£¬£¬£¬£¬£¬£¬£¬£¬ÊÇÏÈÇó³öÏà¹ØÏµÊýr²¢¶ÔÆä¾ÙÐмÙÉèÄ¥Á·£¬£¬£¬£¬£¬£¬£¬£¬ÈôÊÇrÏÔÖø²¢ÓоÙÐлعéÆÊÎöÖ®ÐëÒª£¬£¬£¬£¬£¬£¬£¬£¬ÔÙ½¨Éè»Ø¹é·½³Ì¡£¡£¡£ ¡£ ¡£
7ª±ÊʺÏ×÷Ïà¹ØºÍ»Ø¹éÆÊÎöµÄ×ÊÁÏͨ³£ÓÐÁ½ÖÖ×ÊÁÏ
£¨1£©Ò»¸ö±äÁ¿xÊÇÑ¡¶¨µÄ£¬£¬£¬£¬£¬£¬£¬£¬ÁíÒ»¸ö±äÁ¿yÊÇ´ÓÕý̬ÂþÑܵÄ×ÜÌåÖÐËæ»ú³éÈ¡µÄ£¬£¬£¬£¬£¬£¬£¬£¬ÒË×÷»Ø¹éÆÊÎö¡£¡£¡£ ¡£ ¡£
£¨2£©Á½±äÁ¿x¡¢y£¨»òx1¡¢x2£©¶¼ÊÇ´ÓÕý̬ÂþÑܵÄ×ÜÌåÖÐËæ»ú³éÈ¡µÄ£¬£¬£¬£¬£¬£¬£¬£¬¼´ÊÇÕý̬˫±äÁ¿ÖеÄËæ»úÑù±¾¡£¡£¡£ ¡£ ¡£Õâʱ£¬£¬£¬£¬£¬£¬£¬£¬ÈôÐèÒªÓÉÒ»¸ö±äÁ¿ÍÆËãÁíÒ»¸ö±äÁ¿¿É×÷»Ø¹éÆÊÎö£»£»£»£»£»£»ÈôÖ»Ðè˵Ã÷Á½±äÁ¿¼äµÄÏ໥¹ØÏµ¿É×÷Ïà¹ØÆÊÎö¡£¡£¡£ ¡£ ¡£ÈôÊDZäÁ¿£¨Ò»¸ö»òÁ½¸ö£©³ÊÏÔ×ÅÆ«Ì¬Ê±£¬£¬£¬£¬£¬£¬£¬£¬Ðë¾­ÓÉÊʵ±µÄ±äÁ¿´ú»»£¨Èç¶ÔÊý´ú»»µÈ£©£¬£¬£¬£¬£¬£¬£¬£¬Ê¹×ÊÁϽÓÊÜÕý̬ÂþÑܺóÔÙ×öÏà¹ØÓë»Ø¹éÆÊÎö£¬£¬£¬£¬£¬£¬£¬£¬»òÕß½ÓÄÉÖÈÏà¹Ø·¨¡£¡£¡£ ¡£ ¡£

ÍøÕ¾µØÍ¼