NG相信品牌的力量官网

English NG相信品牌的力量官网集团企业邮箱

第二节 相关系数的盘算

作者:徐荣祥 出书社:中国科学手艺出书社 刊行日期:2009年7月

一、小样本盘算法
示例391测得8例烧伤病人的血浆白卵白与胶体渗透压数值(表391),,,, ,,,,确定它们之间是否保存直线关系? ? ???

【解题办法】
1凭证表391中的数字,,,, ,,,,以横坐标体现血浆白卵白(x),,,, ,,,,纵坐标体现渗透压(y),,,, ,,,,绘成散点图(示图391)。。。 。 。。从所绘制的图中可以看出,,,, ,,,,这些点子基本呈直线趋势。。。 。 。。


2列相关系数盘算表(表392)

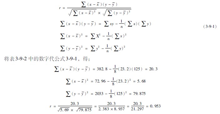
3盘算r值:凭证以下公式盘算r值。。。 。 。。

4结论:r为0953,,,, ,,,,体现血浆胶体渗透压随血浆白卵白浓度的增添而上升。。。 。 。。
二、大样天职组资料盘算法
由于大样本的原始资料较多,,,, ,,,,应先体例相关的频数表,,,, ,,,,再用简捷法盘算均数(x)。。。 。 。。相关频数制表要领与单变量频数表相似,,,, ,,,,所差别的是单变量频数表只按一种变量x分组,,,, ,,,,而相关频数表有两个变量(x、y),,,, ,,,,取一个变量(x)为纵标目,,,, ,,,,另一个变量(y)为横坐标目。。。 。 。。纵标目由左到右、由小到大写在表的上端; ;;; ;;横标目自上到下、由小到大写在表的左侧。。。 。 。。然后划记,,,, ,,,,接每对数据记在纵横标目相交处,,,, ,,,,盘算各组段的频数,,,, ,,,,将纵行的总计写在下面的fx横行内,,,, ,,,,将横行的总频数写在fy纵行内。。。 。 。。然后参照计量资料指标的形貌章节平均数的简捷法,,,, ,,,,划分求x、y的简捷值(x、fx),,,, ,,,,举行运算。。。 。 。。

示例392某医生丈量了40例早期大面积烧伤病人的血浆黏度(CP),,,, ,,,,视察效果汇入表393中,,,, ,,,,试求烧伤面积与血浆黏度之间相关系数? ? ???

【解题办法】
(1)作相关盘算表(表393):先将资料按烧伤面积(竖行)和血浆黏度(横行)填入表中,,,, ,,,,再将竖行与横行相交的病例数(频数)填入响应之交织处。。。 。 。。如“~40%”TBSA组段血浆黏度在“16~”段处有1例,,,, ,,,,即在此处填1,,,, ,,,,余仿此。。。 。 。。
(2)参照平均数值及标准差的简捷法,,,, ,,,,划分求出x及y的dx简化值(dx、dy)、∑fxdx、∑fydy、 ∑fxd2x及fyd2y,,,, ,,,,填入表的响应位置(注:∑fx=∑fy,,,, ,,,,本例均为40)。。。 。 。。
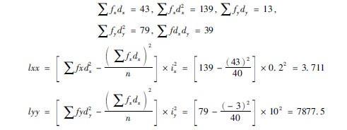
(3)表中∑fdx的盘算要领:各小格的频数(f)乘响应的dx,,,, ,,,,再将各乘积相加。。。 。 。。如y为“~70”段的行内,,,, ,,,,∑fdx =4×0+1×1+1×2+1×4=7; ;;; ;;y=“~90”段行内,,,, ,,,,∑fdx=1×(-1)+2×0+1×1+3×2+2×3+1×4=16。。。 。 。。(注:∑fdx的总计应即是∑fxdx ,,,, ,,,,本例皆为43)。。。 。 。。
(4)∑fdxdy的盘算:为各行的∑fdX与dy相乘之积。。。 。 。。
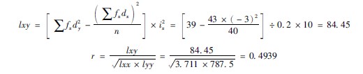
(5)求r值:因本例为大样本资料,,,, ,,,,不可直接代入小样本r公式,,,, ,,,,需接纳分组公式盘算r:
①求离均差平方和与离均差积和:
求离均差平方和(lxx,,,, ,,,,lyy):离均差积和(lxy); ;;; ;;
本例n=40,,,, ,,,,x组距ix=02,,,, ,,,,y组距iy=10; ;;; ;;


(5)结论:因r值为0494,,,, ,,,,说明烧伤早期血浆黏度随烧伤面积的增大而上升。。。 。 。。
三、相关系数的显著性磨练
上述两例的相关系数均是凭证样本资料盘算出来的。。。 。 。。和其他统计量一样,,,, ,,,,凭证样本资料盘算出来的相关系数也一定受到抽样误差的影响。。。 。 。。也就是说,,,, ,,,,从相关系数为0的总体 (即无线性相关)中随机抽样也可能抽到|r|>0的样本。。。 。 。。因此,,,, ,,,,通过盘算获得相关系数后,,,, ,,,,还不可凭证|r|的巨细对x、y关系的亲近水平作出判断,,,, ,,,,需要举行r显著性磨练,,,, ,,,,以便预盘算得的r由抽样误差(即相关系数为0的总体)引起的可能性有多大。。。 。 。。若是从相关系数为0的总体中随机抽得样本r的机会较大(P>005),,,, ,,,,则样本r很可能抽自r为0的总体,,,, ,,,,两者差别无显著意义; ;;; ;;此时纵然|r|值较量大,,,, ,,,,也不可以为x与y有相关关系。。。 。 。。反之,,,, ,,,,若是从相关系数为0的总体中随机抽取获得云云大的样本r的机会较小 (P≤005),,,, ,,,,则以为此样本r很可能不是抽自r为0的总体,,,, ,,,,两者(样本r和总体)相差显著。。。 。 。。此时纵然|r|较量小,,,, ,,,,我们也以为x与y有相关关系。。。 。 。。只有相关有显著意义时,,,, ,,,,我们才华凭证相关系数绝对值的巨细来说明x与y相互关系的亲近水平。。。 。 。。
相关系数的显著性磨练可用t磨练法和查表法确定:

1以示例391为例,,,, ,,,,盘算t值,,,, ,,,,得:

本例自由度为(n′)为6,,,, ,,,, P005界值为2447,,,, ,,,,P001界值为3707,,,, ,,,,本例t=8305,,,, ,,,,不但大于2447,,,, ,,,,也大于3707,,,, ,,,,故P<001,,,, ,,,,即相关系数很是显著。。。 。 。。
2以示例392为例,,,, ,,,,盘算t值,,,, ,,,,得:

本例自由度(n′)为38,,,, ,,,, P005界值为2024,,,, ,,,,P001界值为2712,,,, ,,,,P0001界值为3566,,,, ,,,,本例t=350,,,, ,,,,大于2024和2712,,,, ,,,,但小于3566,,,, ,,,,故P<0001,,,, ,,,,即相关系数很是显著。。。 。 。。

网站地图