NG相信品牌的力量官网

English NG相信品牌的力量官网集团企业邮箱

第四节 两个样本均数的t磨练

作者:徐荣祥 出书社:中国科学手艺出书社 刊行日期:2009年7月

在医学研究中,,,,, ,,,经常较量两个组的平均数相差有无显著意义,,,,, ,,,同样也接纳t磨练要领,,,,, ,,,但与上题差别的是应盘算各自的平均数,,,,, ,,,而不必它们之间差数的平均值。 。。。。。两组样本例数可以相等,,,,, ,,,也可以不相等。 。。。。。盘算公式为:

式中x1与x2为两个样本的平均数,,,,, ,,,sx1-sx2为两均数标准差的标准误。 。。。。。盘算公式为:

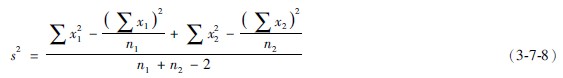
式中的n1和n2代表组1和组2的个样本例数,,,,, ,,,s2是合并标准差的平方。 。。。。。为了盘算利便,,,,, ,,,先以公式求出合并标准差的平方(s2):

示例375某医生研究中度烧伤病人和康健人的白细胞计数,,,,, ,,,资料于下(表372)。 。。。。。问他们之间有无统计学差别????????

【解题办法】
1建设假设和显著水准(α):设H0:康健人与中度烧伤病人WBC的总体均数u1和u2之间相同,,,,, ,,,即μ=0;;;;;;; H1:μ≠0;;;;;;; α=005。 。。。。。
2凭证以上t磨练公式盘算t值:

3结论:中等面积烧伤病人的WBC均数与康健人相比,,,,, ,,,组间无统计学差别。 。。。。。

网站地图