NG相信品牌的力量官网

English NG相信品牌的力量官网集团企业邮箱

第二节 离散趋势指标

作者:徐荣祥 出书社:中国科学手艺出书社 刊行日期:2009年7月

离散(dispersion)趋势指标指的是计量资料所有视察值偏离中心位置的水平(measures of variation)。。。 。。。。形貌离散趋势的主要统计指标有全距(range,,,,,,,R)、方差(variance)、标准差(standard deviation)、变异系数(coefficient of variation)等。。。 。。。。
一、全距
全距又称极差,,,,,,,以符号R体现。。。 。。。。R即是一个变量的所有视察值中最大值(maximum,,,,,,,Max)与最小值(miximum,,,,,,,Max)之间的差值。。。 。。。。盘算公式为(368):R=Max-Max。。。 。。。。当盘算计量单位相同的变量时,,,,,,,全距越大,,,,,,,视察值的离散水平越大。。。 。。。。
如一组烧伤病人的最大烧伤面积为90%TBSA,,,,,,,最小面积为10%TBSA,,,,,,,按公式(368)盘算,,,,,,,R=90-10=80%TBSA。。。 。。。。
二、方差
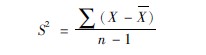
方差是离均差平方和的平均值,,,,,,,方差的巨细只与视察值离散水平有关,,,,,,,而与视察值个数的几多无关。。。 。。。。样本方差以符号S2体现,,,,,,,是总体方差的预计值,,,,,,,按公式(369)盘算:

式中∑(X-X)2为离均差平方和,,,,,,, n-1为自由度(n′)。。。 。。。。因总体方差不易获得,,,,,,,现实事情中常用样本方差作为总体方差的预计。。。 。。。。
方差多用于方差剖析或两个样本标准差合并盘算之用。。。 。。。。如甲组25人,,,,,,,标准差为28,,,,,,,乙组46人,,,,,,,标准差为22,,,,,,,两组合并标准差公式为(369):

三、 标准差
凭证上述看法,,,,,,,全距系指一组变量值中最大值与最小值的差;;;;;标准差则体现这一组变量值漫衍的离散水平。。。 。。。。为进一步说明其离散水平,,,,,,,试看下面这两组数据:
A组:80、90、100、110、120(平均数=100)
B组:98、99、100、101、102(平均数=100)
这两组数值的均数都是100,,,,,,,可是变量值的波动规模却有很大差别,,,,,,,A组数据最大值与最小值之差(全距)为40(120~80),,,,,,,B组数据最大值与最小值之差(全距)为4(102~98)。。。 。。。。由此可见,,,,,,,A组数据的波动规模比B组大得多。。。 。。。。故均数不可完全说明事物内部的实质,,,,,,,需要用标准差来综合剖析。。。 。。。。现在以为反应数据准确度较为完善的指标就是标准差。。。 。。。。
又如:甲组5例病人的烧伤总面积划分为90%、80%、70%、21%、9%TBSA,,,,,,,平均为54%TBSA;;;;;乙组5例病人的烧伤总面积划分为100%、49%、49%、36%、36%TBSA,,,,,,,平均值也为54%TBSA,,,,,,,但甲组特重度病人有3例,,,,,,,乙组仅有1例。。。 。。。。两组均值虽然相等,,,,,,,但并无同质性和可比性,,,,,,,同时也可看出标准差的主要性。。。 。。。。由于标准差是一个个体数据无意性波动巨细的标准标准,,,,,,,标准差大,,,,,,,体现个体数据波动性大,,,,,,,标准差小,,,,,,,体现个体数据波动性小。。。 。。。。
四、标准差盘算
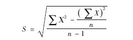
1直接盘算公式(3610):

S为标准差,,,,,,,∑Χ2为变量值平方后的和,,,,,,,(∑x)2是变量值总和后的平方,,,,,,,n为变量个数。。。 。。。。
示例365:测得9例创面出血病人的血小板数目划分为:30、50、40、40、50、40、30、50、149(×109/L),,,,,,,求它们的标准差。。。 。。。。
【解题办法】
先划分求出公式(3610)中的∑Χ2和(∑Χ)2/n,,,,,,,及n-1值,,,,,,,然子女入公式。。。 。。。。
由于∑Χ2为变量值平方后的和,,,,,,,即:
∑Χ2=302+502+402+402+502+402+302+502+1492=36301
[(∑Χ)2]/n=(30+50+40+40+50+40+30+50+149)2/9=254934
(n-1)为(9-1)=8
代入公式(3610),,,,,,,得:

答:9例创面出血病人的血小板标准差为36755×109/L。。。 。。。。
2大样本加权法公式
盘算大样本资料,,,,,,,应绘制频数表资料,,,,,,,凭证公式(3611)盘算标准差:

式中∑fX为各组段X与本组段频数乘积之和,,,,,,,∑fΧ2为各组段fx与本组段X乘积之和。。。 。。。。
示例366仍以例362为例,,,,,,,即某院视察了110例特重度烧伤病人的血液血红卵白含量,,,,,,,其浓度规模在115~150 g/L之间,,,,,,,求其标准差。。。 。。。。
【解题办法】
凭证表362中提供的数据,,,,,,,将(∑f)=110、(∑fX)=13194、(∑fΧ2)=1584990代入公式(3611),,,,,,,得:

效果:110例烧伤病人的血红卵白标准差为472g/L。。。 。。。。
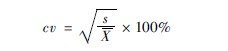
五、变异系数
在统计学上将变量值间的差别称为变异,,,,,,,批注这种变异的指标有全距、标准差和变异系数。。。 。。。。如上所述,,,,,,,标准差的作用是用来确定两组数据的波动水平,,,,,,,一样平常情形下,,,,,,,哪一个标准差大,,,,,,,哪一组的数据波动规模也大;;;;;哪一个标准差小,,,,,,,其波动规模也小。。。 。。。。可是,,,,,,,当较量差别类型的数据时,,,,,,,如身长与体重,,,,,,,或两个平均数相差较大时,,,,,,,若直接用标准差判断它们的波动水平就不稳当了,,,,,,,由于标准差只能反应绝对波动巨细,,,,,,,不可反应相对波动巨细。。。 。。。。这种表达相对数波动巨细的指数称为变异系数,,,,,,,用cv或ν体现。。。 。。。。该指标也可明确为用百分比体现的标准差,,,,,,,即标准差(s)与均数(X)之比。。。 。。。。其公式为(3612):

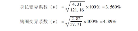
示例367某院视察了7岁男孩身高均数为12116cm,,,,,,,标准差为431cm,,,,,,,胸围均数5771cm,,,,,,,标准差为282cm。。。 。。。。较量两者的变异水平。。。 。。。。
【解题办法】
凭证公式(3612),,,,,,,划分求身长变异系数和胸围变异系数:

答:本例身长均数显着大于胸围均数,,,,,,,若与标准差直接较量,,,,,,,胸围的变异系数似乎小于身长,,,,,,,但经由变异系数盘算,,,,,,,结论为胸围的变异水平并不比身长变异水平小。。。 。。。。由此可见,,,,,,,身长的变异水平比胸围稳固。。。 。。。。
六、标准误
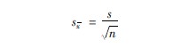
由于均数的标准误与样本标准差相似,,,,,,,都是说明离散水平的指标,,,,,,,故在此作一先容。。。 。。。。变异系数均数标准误有两种,,,,,,,一种是总体标准误,,,,,,,一种是样本标准误。。。 。。。。总体标准误(σx)和样本标准误(sx、SE、SEM)是体现均数误差水平的指标。。。 。。。。在医学研究中,,,,,,,常在总体中抽出一部分作为样本,,,,,,,然后再凭证样本的视察效果推论总体情形。。。 。。。。可是,,,,,,,由于在统一总体中的个体之间一定保存着差别(犹如是50%TBSA烧伤),,,,,,,样本均数与总体均数之间保存差别,,,,,,,各个样本均数之间一定爆发差别,,,,,,,谓之标准误(sx),,,,,,,是由抽样引起的。。。 。。。。标准误越小,,,,,,,说明样本均数与总体均数越靠近,,,,,,,用样本均数推论总体均数的可能性越大;;;;;反之,,,,,,,标准误越大,,,,,,,说明用样本均数推论总体均数的可能性越小。。。 。。。。故均数标准误是测定样本均数变异规模的标准。。。 。。。。在医学资料中,,,,,,,常用样本均数±标准误的形式(x±sx)体现资料的可靠水平。。。 。。。。一样平常来说,,,,,,,在x±1×sx的规模内,,,,,,,总体均数泛起的概率为683%;;;;;在x±2×sx的规模内,,,,,,,总体均数泛起的概率为95%,,,,,,,或者说有95%以上的掌握可以为总体均数在这个规模之内,,,,,,,也可以为重复同样实验100次,,,,,,,得出100个均数,,,,,,,会有95%以上的均数漫衍在x±2×sx的规模内。。。 。。。。公式(3613)为:

sx为标准误,,,,,,,s为样本标准差,,,,,,,n为样本个数。。。 。。。。
示例368某院抽查了100例病人的血液红细胞数目,,,,,,,其样本均值为50×109/L,,,,,,,样本标准差为246×109/L,,,,,,,求其标准误。。。 。。。。
【解题办法】
凭证公式(3613),,,,,,,求得:

答:本例样本标准误为0246(×109/L),,,,,,,资料的可靠水平为50±0246(×109/L)。。。 。。。。
七、平均数、标准差、标准误的应用
1体现正惯例模如体温、脉搏,,,,,,,血压,,,,,,,红细胞,,,,,,,白细胞等正常值等盘算均需要标准差的加入。。。 。。。。正常值规模一样平常是以平均数±2个标准差作为划定界线,,,,,,,现以红细胞为例说明这个问题。。。 。。。。如我们所求得的康健男子红细胞平均值为50×109/L,,,,,,,标准差为25×109/L,,,,,,,则正常男子红细胞的正常值可定为50±2×25,,,,,,,即45×109/L~55×109/L规模内。。。 。。。。但应注重,,,,,,,在应用此要领时,,,,,,,变量的漫衍必需是正态漫衍,,,,,,,如属于非正态漫衍者,,,,,,,应接纳其他要领盘算。。。 。。。。
2预计受试工具所需样本数
(1)使用标准误公式推算样本数:
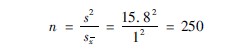
示例369某医院测定了80名严重烧伤患者早期血液肌酐(Cr)含量,,,,,,,测定效果:均数(x)=1548μmmol/L,,,,,,,标准差(s)=158μmmol/L ,,,,,,,标准误=1778μmmol/L,,,,,,, 即现在95%的置信限为1548±354μmmol/L ,,,,,,,欲求95%的置信限在158±20μmmol/L的规模内,,,,,,,需要视察几多例才华泛起这种效果?
【解题办法】
①凭证标准误盘算公式(3613)推算样本数(n),,,,,,,公式为(3614):

②由于95%的置信限为x±2×sx,,,,,,,今求2×sx=20,,,,,,,即sx=10。。。 。。。。把有关数据代入公式(3614),,,,,,,得:

③结论:若把视察人数增添到250人,,,,,,,可能使置信限规模抵达1548±20μmol/L 。。。 。。。。
(2)使用两合并标准差推算样本数:
示例3510某医生用某药治疗粒细胞镌汰症,,,,,,,为视察某药物用口服要领及肌肉注射要领对最高疗效泛起时间(天)的影响。。。 。。。。凭证准备试验效果,,,,,,,口吃法最高疗效泛起的平均时间为222天,,,,,,,肌肉注射法为175天,,,,,,,合并标准差(s)为1391天。。。 。。。。问各组需视察几多例才华使两组均数的差别有显著意义?   
【解题办法】
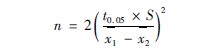
①本例是两个样本平均数作较量的资料,,,,,,,当两组样内情等时,,,,,,,其样本巨细的预计公式为(3615):

 n=每组例数,,,,,,,t005=表中查出的标准值,,,,,,,s=合并标准差,,,,,,,x1-x2=两组均数差。。。 。。。。
②当n≥30时,,,,,,,查表得出t005=20,,,,,,,因x1-x2=475,,,,,,,s=1391,,,,,,,代入公式(3615):

③结论:每组需要视察69例才华使两组均数差别有显著意义。。。 。。。。

网站地图